Auditive Wahrnehmung und kritische Bandbreiten:

     
1. Einführung
5. Kritische Bandbreiten
Inhalt
Hörgeräte und Chochlea-Implantate
Perzeptive digitale Audiocodierung
Links
Literatur
Hilfe
 
Projekt-
Dokumentation
     
  Mathematische Filtermodelle
Zurück zur letzten Einheit Weiter zur nächsten Einheit


Mathematische Modelle der peripheren auditiven Filterung bilden die Grundlage der technischen Nutzung dieser Eigenschaft des menschlichen Gehörs. Es existieren eine Reihe von Filtermodellen, die sich in der Grundstruktur gleichen.

[Abb. 7.1] Schematische Darstellung des Kanalmodells der Schallübertragung im peripheren auditiven System

Sie bestehen aus einem vorgeschalteten Filter zur Nachbildung der Gehärgangsresonanzen und einer anschließenden Reihe paralleler Filter, die die Eigenschaften der Filterung in der Cochlea nachbilden. Sie bilden die Eingänge von darauffolgenden Verarbeitungskanälen, die den einzelnen Fasern des Hörnervs entsprechen.

Die Umsetzung dieser Struktur unterscheidet sich je nach konkretem Modell. Die einfachste Beschreibung der Form der einzelnen Filter liefert die roex(p)-Funktion nach Patterson und Moore, die hier erwähnt wird, um das Prinzip zu verdeutlichen. Breite Verwendung in Anwendungen finden die sogenannten Gammatone-Filter nach Patterson.

Die roex(p)-Funktion

Die typische Form der auditiven Filter mit runder Spitze und relativ steil abfallende Seiten lässt sich annähernd mit einer einfachen mathematischen Funktion beschreiben, der sogenannten gerundet-exponentiellen Funktion (engl. "rounded-exponential", roex):

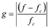
Formel [7.1] roex(p)-Funktion. p: kritische Bandbreite (ERB)

mit

Formel [7.2] g: normalisierte Abweichung der Frequenz f von der Mittenfrequenz fc

Der Parameter p entspricht der kritischen Bandbreite. Nach ihm wird die Funktion als roex(p)-Filter bezeichnet. Sie ist die einfachste mögliche Funktion zur mathematischen Beschreibung der Filterform und reicht oft als Annäherung aus.

 

[Abb. 7.2] roex(p) - Filter

Es existieren eine Reihe von mathematischen Anpassungen der roex(p)-Funktion, um Asymmetrien sowie Schwierigkeiten bei hohen Schallpegeln und bei Maskierungshörschwellen nahe der absoluten Hörschwelle zu berücksichtigen.

Gammatone-Filter

Während die oben beschriebene roex(p)-Funktion lediglich zur mathematischen Beschreibung einzelner Filter dient, gibt es eine Reihe von Modellen zur Beschreibung des Übertragungsverhaltens des gesamten peripheren auditiven Systems. Eine weit verbreitete Funktion ist die Gammatone-Filterfunktion nach Patterson (auch bekannt als Patterson-Holdsworth Auditory Filter Bank).

Auditory Image - Modell

Patterson entwickelte auf der Basis der Gammatone-Filterbank das Auditory Image - Modell, ein Modell der Repräsentation komplexer Schallsignale unter Einbeziehung von deren zeitlichem Verlauf.

Zurück zur letzten Einheit Weiter zur nächsten Einheit